新闻详情
【嘉仪通系列产品专题四】测试霍尔系数的好仪器—霍尔效应测试系统
- 分类: 品牌故事
- 作者:嘉仪通科技
- 来源:本站
- 发布时间:2021-09-15
- 访问量: 1250
【概要描述】 霍尔效应测试系统(Hall Effect Test System)依据范德堡法则,测量材···
【嘉仪通系列产品专题四】测试霍尔系数的好仪器—霍尔效应测试系统
【概要描述】 霍尔效应测试系统(Hall Effect Test System)依据范德堡法则,测量材···
- 分类: 品牌故事
- 作者:嘉仪通科技
- 来源:本站
- 发布时间:2021-09-15
- 访问量: 1250

霍尔效应测试系统(Hall Effect Test System)依据范德堡法则,测量材料的电运输性能、主要参数,如载流子浓度、迁移率、电阻率、霍尔系数等,薄膜或薄层材料均可测量,可应用于所有半导体材料,包括Si、ZnO、SiGe、SiC,GaAs,InGaAs,InP,GaN(N型&P型均可测量),广泛应用于国内高校、研究所、半导体、金属、高热导有机新材料等行业。
“测试原理”
范德堡方法专门为测量任意形状的二维样品设计的。这种方法特点是它不需要知道样品的任何尺寸,范德堡方程常常通过一组电阻的测量计算电阻率和霍尔系数,方程假设在样品的边缘有接触点。范德堡法可以应用于任意形状样品电阻率的测量,它要求样品均匀中间不能有孔,四个探针位于样品边缘且足够小。
“产品细节”
一
优良的产品性能
1. 采用高精密度恒流源和电压表,确保仪器测试的良好准确度和高稳定性,性能优越。
2. 自动控制磁场方向,更加方便准确。
3. 样品装夹方式快速方便,依据不同样片提供适配夹具。
二
自动切换信号装置
(实用新型专利 专利号:201820041860.3)
1. 自动切换信号装置,可降低信号噪声引入。
2. 可实现电阻率和霍尔效应自动信号切换。
3. 可实现样品电流自动适配/检测。
三
人性化外观设计
(外观设计专利 专利号:201730242932.1)
1. 产品工业外观采用一体化、精密设计,融入人性化的设计理念。
2. 外观整体流畅大方,不仅赏心悦目而且操作方便。
3. 优化多处细节,并增设功能表让操作更加简洁、快速。
4. 产品体积小,便于实验操作使用。

三
智能化软件界面
(软件著作权 专利号:2017SR045365)
1. 一键快速测试,无需设置内置参数,使测试过程更加方便快捷。
2. 可提供原始数据和结果数据,并导出TXT/Excel格式文件。
3. 智能化用户界面,软件平台功能齐全,带给客户友好的操作体验。

“成功案例”
中国科学院深圳先进技术研究院
2017年10月武汉嘉仪通科技的“霍尔效应测试系统(HET)”通过产品验收,正式交付成都理工大学使用。在嘉仪通客户服务部做售后回访时,成都理工大学的老师表示嘉仪通的霍尔效应测试系统对他们的实验起到了很大的帮助,检测结果相对稳定可靠,仪器体积小方便实验使用。
“技术参数”
型号 | HET-3RT | HET-3HT | |
磁感应强度 | 0.68T | 0.5T | |
磁场稳定性 | ±2%/每年 | ||
温度范围 | RT | 100K~600K(可连续变温) | |
温控精度 | ±0.5K | ||
输出电流 | 100pA-100mA | ||
迁移率 | 1-107cm²/Volt-sec | ||
阻抗 | 10-6to 107Ω·CM | ||
载流子浓度 | 107 -1021cm-3 | ||
样品测量板 | 样品边长5~20mm,厚度10nm-3mm | 样品边长5~15mm,厚度10nm-1mm | |
主机尺寸 | 570x545x380,单位mm | ||
重量 | 50kg | 80kg | |
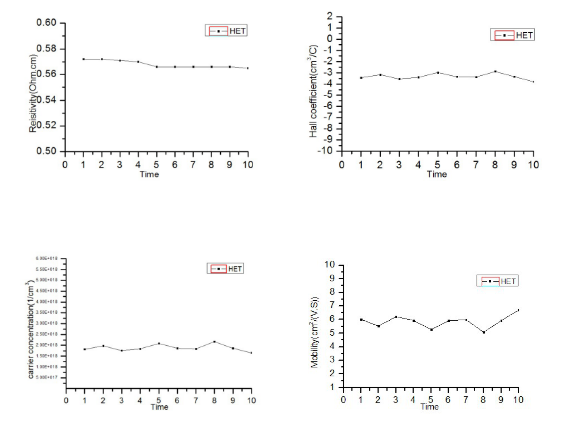
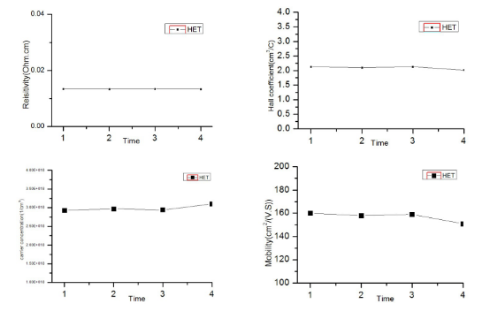
“测试实例”
山东大学钛酸锶陶瓷样品测试结果

太原理工硅化镁样品测试结果

扫二维码用手机看
在线留言
WRITE A MESSAGE TO US
热门资讯
- RTP快速退火炉能提升碳化硅(SiC)芯片欧姆接触的稳定性 2024-08-16 16:46:13
- 嘉仪通在第14届无机非金属材料专题研讨会作快速退火应用主题报告 2024-08-16 10:55:18
- 半导体材料为什么要测变温电阻率? 2024-07-27 14:29:55
- RTP快速退火炉在半导体合金化退火中的好处 2024-07-19 11:56:12
- 半导体材料电学性能研究主要测试哪些参数,有什么用? 2024-06-26 09:28:45
- 一键测量材料多种电学参数-嘉仪通霍尔效应测试仪 2024-06-19 14:02:06
我们的产品
公司多年来秉持互惠共赢的原则与全国各地客户开展贸易合作往来


