新闻详情
快速热处理RTP在β-Ga2O3 MESFET器件中的应用
- 分类: 行业知识
- 作者:周酉林
- 来源:本站
- 发布时间:2024-05-23
- 访问量: 150
【概要描述】β型氧化镓(β-Ga₂O₃),是一种宽带隙半导体材料,其最显著的特征是具有超宽的禁带宽度(约4.4~···
快速热处理RTP在β-Ga2O3 MESFET器件中的应用
【概要描述】β型氧化镓(β-Ga₂O₃),是一种宽带隙半导体材料,其最显著的特征是具有超宽的禁带宽度(约4.4~···
- 分类: 行业知识
- 作者:周酉林
- 来源:本站
- 发布时间:2024-05-23
- 访问量: 150
β型氧化镓(β-Ga₂O₃),是一种宽带隙半导体材料,其最显著的特征是具有超宽的禁带宽度(约4.4~4.9 eV),还具有较高的击穿电场强度、较低的介电常数以及出色的热导率[1],这些特性使得它在制造高性能电子器件[2]方面具有得天独厚的优势。高温电子器件在各种应用中至关重要,需要克服主动冷却系统可用性、尺寸、重量、功耗和成本等问题。传统的基于Si的技术可以在温度高达200°C时运行,超过该温度,材料的内在载流子浓度会降低其调制能力。Islam 等人[3]利用使用β-Ga2O3制造了金属半导体场效应晶体管(MESFET),并实现了在500℃下的运行,表现出其在真空下高温的稳定性,并给后续选择适当的金属和介质在更高的温度下工作提供了很好的基础。
图1 MESFET器件结构示意图和制备流程
图1展示了MESFET器件的结构示意图,同时详细描述了器件的制备过程。首先,采用MOVPE方法生长了Si-doped β-Ga2O3通道材料。接着,通过ICP和ALD/PECVD等工艺流程完成了器件的制备。源/漏区域则通过Si掺杂,并在900°C的N2环境中进行20min的退火以激活掺杂原子(RTP,900℃@20min,N2)。之后,刻蚀出源/漏区域,并用电子束蒸发Ti/Al/Ni/Au,随后在N2环境中进行470℃的快速热处理1分钟,获得欧姆接触(RTP,470℃@1min,N2)。最后,通过Ni/Au连接完成了器件的制备。

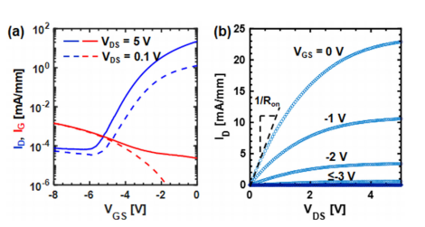
图2 室温下MESFET的转移特性和输出特性
图2展示了室温下器件的转移特性IG vs VGS和输出特性ID vs VDS的测量结果。根据图2(a)中的转移特性,我们计算出任何VDS上的最大到最小漏极电流比(IMAX/IMIN)大于104,低场场效应迁移率(μleff)为23 cm2/V·s,阈值电压(VT)从最大跨导(gm)点线性外推得到,约为2.5 V。此外,从转移曲线中提取出源极诱导势垒降低(DIBL)为143 mV/V。图2(b)中的输出特性显示,在VDS接近0时,ID–VDS曲线的斜率倒数(即Ron)为88 Ω·mm。然而,这些器件的最大电流比值受到高栅极泄漏限制,栅极泄漏电流主要流向源极,从观察到的ID 、 IG在VGS接近-8 V时可以明显看出。这种大的栅极泄漏也增加了这些器件中测量的亚阈值斜率(SS)。

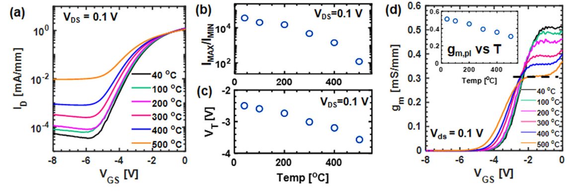
图3 变温下MESFET的半导体电学特性
图3展示了在不同温度下使用半导体设备分析仪测量设备的结果。随着温度从40到500摄氏度增加,设备在达到稳定状态后,在一定的温度下进行测试。在真空中测量了不同温度下的转移特性图。随着温度的升高,IMAX从1.3mA/mm减少到1.1mA/mm,这是由于载流子迁移率降低和栅极泄漏增加。温度对VT的影响表明,在高温度下电子从一些深能级陷阱中逃逸出来。此外,我们还测量了不同温度下的gm vs VGS特性,显示了一个平台和一个随VGS增加而增加的gm,表明设备中存在双通道。由于器件中存在大量深能级缺陷,大部分电流通过深通道传导。随着温度升高,深通道厚度增加,gm vs VGS特性中的平台宽度增加。最后,我们绘制了不同温度下测量的gm平均值的虚线部分,表明在高温度下载流子迁移率降低了约50%。
图4 变温下MESFET的输出特性
图4展示了输出特性随温度变化的情况。随着温度的升高,漏极电流ID增加,亚阈值斜率增大。这些变化可能是由于深阱陷阱中的电子解离导致的。此外,图4还显示了在500℃下,经过1小时的测试后,ID略有增加,这表明在500℃下,该器件可以恢复其室温电学性能。
β-Ga2O3 MESFET具有的优异的半导体及器件性能也源于RTP快速退火炉的良好表现,RTP系列产品是武汉嘉仪通科技有限公司的核心产品,在薄膜材料制备及热处理方面展现出诸多优势,形成鲜明的行业竞争力,为高质量薄膜材料提供了快速升降温、高稳定性的、高均匀性的高温场和气氛保护或反应气体,具体表现在:
√ 高温场能够促进原子运动,进行晶格修复,并激活杂原子;
√ 快速升温的高温场能够促进金属层/Ga2O3的热扩散,获得更低的接触电阻,形成欧姆接触;
√ 保护气氛有助于避免金属电极的高温氧化,降低表面电阻率,避免出现杂相或者副反应。
此外,嘉仪通快速退火炉(RTP,Rapid Thermal Processing)产品,采用红外辐射加热及冷壁技术,可实现对薄膜材料的快速升温和降温,同时搭配超高精度的温度控制系统,可达到极佳的温场均匀性和稳定性。
嘉仪通(JouleYacht)快速退火炉系列可处理1-12吋样品,对材料的金属合金化、离子注入后退火、快速热处理、快速热退火、快速热氧化及快速热氮化等研究和生产起到重要作用。
参考文献:
[1] Bae H, Park T J, Noh J, et al. First demonstration of robust tri-gate β-Ga2O3 nano-membrane field-effect transistors[J]. Nanotechnology, 2021, 33(12): 125201.
[2] Green A J, Speck J, Xing G, et al. β-Gallium oxide power electronics[J]. Apl Materials, 2022, 10(2).
[3] Islam A E, Sepelak N P, Liddy K J, et al. 500° C operation of β-Ga2O3 field-effect transistors[J]. Applied Physics Letters, 2022, 121(24).
扫二维码用手机看
在线留言
WRITE A MESSAGE TO US
热门资讯
- RTP快速退火炉能提升碳化硅(SiC)芯片欧姆接触的稳定性 2024-08-16 16:46:13
- 嘉仪通在第14届无机非金属材料专题研讨会作快速退火应用主题报告 2024-08-16 10:55:18
- 半导体材料为什么要测变温电阻率? 2024-07-27 14:29:55
- RTP快速退火炉在半导体合金化退火中的好处 2024-07-19 11:56:12
- 半导体材料电学性能研究主要测试哪些参数,有什么用? 2024-06-26 09:28:45
- 一键测量材料多种电学参数-嘉仪通霍尔效应测试仪 2024-06-19 14:02:06
我们的产品
公司多年来秉持互惠共赢的原则与全国各地客户开展贸易合作往来

